齒輪傳動具有傳遞功率大、效率高、傳動比準確等優點,被廣泛應用于機械傳動。在漸開線齒廓嚙合傳動中,由于具有嚙合傳動比恒定、嚙合角不變、中心距可分性等優點,使得漸開線齒輪具有良好的嚙合特性,且制造與安裝相對容易。標準的漸開線直齒圓柱齒輪、斜齒輪的設計制造已經標準化,在機械傳動中應用最為廣泛。漸開線直齒圓柱齒輪嚙合傳動過程中,兩輪齒齒面接觸時載荷是沿全齒寬突然加上或卸下,故沖擊和噪聲大、傳動平穩性差。斜齒圓柱齒輪齒廓曲面是漸開線螺旋面,兩輪齒齒面接觸時接觸線傾斜于軸線,其優點是輪齒嚙合時是逐漸進入和退出嚙合,所以嚙合傳動承載力大、重合度大、傳動平穩,但缺點是傳動過程中存在較大軸向力。因此,對弧齒圓柱齒輪嚙合傳動的研究受到了國內外學者的廣泛關注。弧齒圓柱齒輪的齒形結構類似于人字齒輪,所以它具有 人字齒輪的優點,即齒輪傳動重合度高、軸向載荷小、承載能力強。同時,在弧齒圓柱齒輪嚙合過程中,每一對輪齒的嚙入、嚙出是漸次進行的,相較于直齒圓柱齒輪和斜齒輪,它既沒有直齒輪的嚙合沖擊現象,又沒有斜齒輪嚙合傳動時的軸向力,所以其傳動性能較好。此外,由于弧齒圓柱齒輪的齒向為圓弧齒線,因此弧齒圓柱齒輪安裝時可以沿齒線旋轉一個較小的角度而不影響其嚙合傳動,齒輪副安裝平行度誤差適應性強。本文在研究弧齒圓柱齒輪展成基本齒條的基礎上,介紹弧齒圓柱齒輪設計制造方法。
一、弧齒圓柱齒輪基本參數及設計計算
通常情況下,研究弧齒圓柱齒輪時以弧齒圓柱齒輪的基本齒條為基礎來進行。圖1為弧齒圓柱齒輪基本齒條,p、q分別為輪齒的凸、凹面,它們是兩個圓錐體P和Q 的一部分,R為分度圓處圓錐錐體半徑,t/2為兩圓錐軸線間距,b為齒條寬度,A-A截面為齒條的中間截面,B-B截面為齒條分度平面,截面A-A處齒條具有漸開線齒形。研究發現,弧齒圓柱齒輪在輪齒中間截面的齒形與漸開線直齒圓柱齒輪相同,所以弧齒圓柱齒輪的設計計算可參照漸開線直齒圓柱齒輪進行,其基本幾何參數為模數m、齒數z、壓力角α、齒頂高系數ha* 和頂隙系數c*,幾何尺寸計算與漸開線直齒圓柱齒輪相同,計算公式如表1所示。

弧齒圓柱齒輪的設計過程可參考漸開線直齒圓柱齒輪進行,設計準則與直齒圓柱齒輪相同。在直齒圓柱齒輪設計過程中,因為齒輪的主要失效形式是齒面疲勞點蝕和輪齒疲勞折斷,所以根據齒輪傳動應用場合不同,可選用齒面接觸疲勞強度或齒根彎曲疲勞強度設計計算準則來進行設計計算。因此,在弧齒圓柱齒輪設計計算過程中,可參照漸開線直齒圓柱齒輪的設計計算過程,先選擇齒輪材料、熱處理方式及精度等級,然后根據使用工況來確定相應的設計準則,通過計算確定出小齒輪的齒數和模數。由于小齒輪齒數少,考慮到根切問題,小齒輪齒數在選擇時要滿足zmin≤ z1;一旦確定了小齒輪的齒數,大齒輪的齒數可根據齒輪傳動比來確定,即z2=iz1;然后,依據表1中幾何尺寸計算公式,計算出弧齒圓柱齒輪的主要尺寸;最后,再對弧齒圓柱齒輪強度進行校核即可。

二、齒圓柱齒輪的切齒加工
弧齒圓柱齒輪的切齒方法
弧齒圓柱齒輪的切齒加工不同于直齒圓柱齒輪,目前較為典型的切齒加工方法主要有旋轉刀盤法和平行連桿法。由于旋轉刀盤法在切齒過程中效率高且容易實現,因此該方法在弧齒圓柱齒輪切齒加工中應用較多,其原理如圖2所示。采用旋轉刀盤法切制弧齒圓柱齒輪時,切削刀盤與齒輪齒坯之間為精確的范成運動關系,即被加工齒輪齒坯的節圓線速度等于切削刀盤節線的線速度。在弧齒輪輪齒切制過程中,切削刀盤除了旋轉主運動之外還有沿著齒坯徑向的切入進給運動。采用范成法加工時,因為每次只能切削加工一個齒槽,所以每切完一個輪齒齒槽后必須控制齒坯精確分度,然后再切制第二個齒槽,依次將全部的齒槽切制完成后即可完成弧齒輪的加工。理論上講,弧齒圓柱齒輪齒槽可利用雙面刃刀具一次切出一 個完整的齒槽,形成輪齒的凸、凹面,但是,由于雙面刃刀具在切齒過程中是滿刃切削,因此切制齒槽時的切削量較大,刀具磨損較快,且切制出的齒面精度不高,在實際切齒時很難切制出滿足要求的弧齒輪。因此,在采用雙面刃刀具切齒實踐基礎上,提出了單面刃刀具切齒加工方法,弧齒圓柱齒輪切齒刀具如圖3所示。圖3中,Re 和Ri 分別為內、外單面刃刀具刀盤半徑,α1 為刀具壓力角。結合雙面刃刀具切齒實踐經驗,在弧齒輪齒槽切制過程中,可先利用雙面刃刀具粗切出齒槽,然后再利用單面刃刀具分別精切弧齒圓柱齒輪的凸、凹面,以保證切齒精度。

利用單面刃刀具分別精切弧齒圓柱齒輪凸、凹面的優點是可將內、外單面刃刀具設計為半徑相等的刀具,切制出的輪齒凸、凹面精度較高。但是,由于凸、凹面需要分別切制,因此必須考慮加工過程中齒坯安裝與刀具更換問題,一旦在加工過程中需要更換刀具或拆、裝齒坯,必然會影響輪齒的加工精度。為此,提出弧齒圓柱齒輪的單面雙銑加工方法,其加工原理如圖4所示,弧齒圓柱齒輪輪齒切制過程中,在專用銑齒機床上設計兩個工位分別切制輪齒的凸、凹面。在圖4 中,1、4分別表示位于左、右兩個工位的凸、凹面單刃銑齒刀具,2、5分別表示銑削凸、凹齒面時的被加工弧齒圓柱齒輪齒坯,3、6分別為凸、凹面單刃銑齒刀具。由此可見,弧齒圓柱齒輪的切齒加工需要專用的數控銑齒設備來完成。

弧齒圓柱齒輪切齒刀具齒面方程
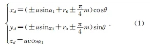
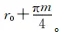
弧齒圓柱齒輪銑齒過程中,銑齒刀具采用的是專用刀具。為設計制造專用的銑齒刀具,可基于旋轉刀盤法切齒加工原理,研究建立切齒刀具的齒面方程。圖5為刀具與被加工齒輪坐標系,先建立坐標系[O1,x1,y1,z1]固聯在被加工齒輪齒坯上,坐標系[Od,xd,yd,zd]與銑齒刀盤固聯,它們分別隨被加工齒輪齒坯和銑齒刀盤轉動;再建立固定坐標系[O,x,y,z]、[O1,x10,y10,z10]為輔助坐標系,若齒輪齒坯的節圓半徑為 R1,銑齒刀盤平均半徑為r0,則銑齒刀具的內刀刃半徑為
外刀刃半徑為![]()
此外,圖5中,ω 和ω1 分別為刀具與齒坯角速度,φ1 為齒坯旋轉角度。

由此可知,在與刀具固聯的坐標系[Od,xd,yd,zd]中,可建立刀具曲面參數方程如下:

其中:u為刀具曲面上點沿圓錐面母線距參考點的距離;θ為刀架從齒坯中央截面至端面的轉角。
三、弧齒圓柱齒輪切齒過程及宏程序編制
結合前述切齒工藝過程分析,可將弧齒圓柱齒輪切齒加工過程分三步進行:第一步,在弧齒圓柱齒輪齒槽中間下刀,采用三面刃齒槽銑刀銑出齒槽,切除大部分齒坯材料;第二步、第三步采用單面刃刀具分別加工弧齒圓柱齒輪的凹、凸齒面。在專用銑齒機床上加工時,加工過程的分度采用絕對分度和相對分度兩種方式進行編程,如齒輪按照齒數分度角為δ,加工程序起始角度第一步從δ/2處開始,即從齒輪齒槽中間下刀粗加工齒槽;第二步從δ=0開始下刀,第三步從δ處開始下刀,分別使用兩把單面刃刀具進行對應的凹、凸齒面加工;當每把刀具分別完成齒輪一周的整個齒槽、齒形加工后,即可完成整個弧齒圓柱齒輪的加工。由于刀具切入是按照漸開線進行,因此刀具的切入軌跡是按照漸開線進刀。例如,加工弧齒圓柱齒輪的基本參數如下:模數 m=3 mm,齒數z=25,齒頂高系數 ha*=1.0,頂隙系數c*=0.25,編制的一個齒槽切削循環宏程序如下:

弧齒圓柱齒輪銑削加工程序是按照漸開線方向進給,退刀也是按照漸開線方向回退。刀具在沿著漸開線方向運動時要注意避免對未加工齒面的過切,從而保證待加工面有足夠的加工余量,以便保證弧齒面的加工質量。圖6為試切得到的弧齒圓柱齒輪,經嚙合傳動檢驗,證明切制的弧齒圓柱齒輪符合預期要求。

四、結語
弧齒圓柱齒輪嚙合傳動性能較好,但由于切齒加工需要專用的加工設備與銑齒刀具,因此導致弧齒圓柱齒輪在機械傳動中不能大面積推廣應用。本文在研究弧齒圓柱齒輪設計計算基礎上,重點對弧齒圓柱齒輪的切齒加工進行了深入研究,提出了采用單面雙銑加工方法切制弧齒輪輪齒的凸、凹面,并基于專用的銑齒設備進行了銑齒加工。在弧齒圓柱齒輪的輪齒凸、凹面銑削過程中,刀具切入、退出時是沿著漸開線軌跡進刀,在調整機床完成第一個輪齒的凸面或凹面加工后,后續輪齒的銑削加工只需齒坯精確分度,然后再重復之前的切削進給即可。通過編制數控加工宏程序,在專用的銑齒設備上試切弧齒輪,切制出來的弧齒圓柱齒輪精度基本在6級~7級,經嚙合傳動檢驗證明切制的弧齒輪符合預期要求。此外,如果需要進一步提高弧齒輪精度,可采用磨齒機進一步對齒面進行磨削加工,以提高齒輪精度。
