1. 什么是齒輪?
齒輪是能互相嚙合的有齒的機械零件。它在機械傳動及整個機械領域中的應用極其廣泛。
2. 齒輪的歷史
早在公元前350年,古希臘著名的哲學家亞里士多德在文獻中對齒輪有過記錄。公元前250年左右,數學家阿基米德也在文獻中對使用了渦輪蝸桿的卷揚機進行了說明。在現今伊拉克凱特斯芬遺跡中還保存著公元前的齒輪。
齒輪在我國的歷史也源遠流長。據史料記載,遠在公元前400~200年的中國古代就已開始使用齒輪,在我國山西出土的青銅齒輪是迄今已發現的最古老齒輪,作為反映古代科學技術成就的指南車就是以齒輪機構為核心的機械裝置。15世紀后半的意大利文藝復興時期,著名的全才列奧納多.達芬奇,不僅在文化藝術方面,在齒輪技術史上也留下了不可磨滅的功績,經過了500年以上,現在的齒輪仍然保留著當時素描的原型。

直到17世紀末,人們才開始研究能正確傳遞運動的輪齒形狀。18世紀,歐洲工業革命以后,齒輪傳動的應用日益廣泛;先是發展擺線齒輪,而后是漸開線齒輪,一直到20世紀初,漸開線齒輪已在應用中占了優勢。其后又發展了變位齒輪、圓弧齒輪、錐齒輪、斜齒輪等等。
現代齒輪技術已達到:齒輪模數0.004-100毫米;齒輪直徑由1毫米-150米;傳遞功率可達十萬千瓦;轉速可達十萬轉/分;最高的圓周速度達300米/秒。
國際上,動力傳動齒輪裝置正沿著小型化、高速化、標準化方向發展。特殊齒輪的應用、行星齒輪裝置的發展、低振動、低噪聲齒輪裝置的研制是齒輪設計方面的一些特點。
3. 齒輪一般分為三大類
齒輪的種類繁多,其分類方法最通常的是根據齒輪軸性。一般分為平行軸、相交軸及交錯軸三種類型。
1)平行軸齒輪:包括正齒輪、斜齒輪、內齒輪、齒條及斜齒條等。
2)相交軸齒輪:有直齒錐齒輪、弧齒錐齒輪、零度齒錐齒輪等。
3)交錯軸齒輪:有交錯軸斜齒齒輪、蝸桿蝸輪、準雙曲面齒輪等。
上表中所列出的效率為傳動效率,不包括軸承及攪拌潤滑等的損失。平行軸及相交軸的齒輪副的嚙合,基本上是滾動,相對的滑動非常微小,所以效率高。交錯軸斜齒輪及蝸桿蝸輪等交錯軸齒輪副,因為是通過相對滑動產生旋轉以達到動力傳動,所以摩擦的影響非常大,與其他齒輪相比傳動效率下降。齒輪的效率是齒輪在正常裝配狀況下的傳動效率。如果出現安裝不正確的情況,特別是錐齒輪裝配距離不正確而導致同錐交點有誤差時,其效率會顯著下降。
3.1 平行軸的齒輪
1)正齒輪
齒線與軸心線為平行方向的圓柱齒輪。因為易于加工,因此在動力傳動上使用最為廣泛。
2)齒條
與正齒輪嚙合的直線齒條狀齒輪。可以看成是正齒輪的節圓直徑變成無限大時的特殊情況。
3)內齒輪
與正齒輪相嚙合在圓環的內側加工有輪齒的齒輪。主要使用在行星齒輪傳動機構及齒輪聯軸器等應用上。
4)斜齒齒輪
齒線為螺旋線的圓柱齒輪。因為比正齒輪強度高且運轉平穩,被廣泛使用。傳動時產生軸向推力。
5)斜齒齒條,
與斜齒齒輪相嚙合的條狀齒輪。相當于斜齒齒輪的節徑變成無限大時的情形。
6)人字齒輪
齒線為左旋及右旋的兩個斜齒齒輪組合而成的齒輪。有在軸向不產生推力的優點。
3.2 相交軸齒輪
1)直齒錐齒輪
齒線與節錐線的母線一致的錐齒輪。在錐齒輪中,屬于比較容易制造的類型。所以,作為傳動用錐齒輪應用范圍廣泛。
2)弧齒錐齒輪
齒線為曲線,帶有螺旋角的錐齒輪。雖然與直齒錐齒輪相比,制作難度較大,但是作為高強度、低噪音的齒輪使用也很廣泛。
3)零度錐齒輪
螺旋角為零度的曲線齒錐齒輪。因為同時具有直齒和曲齒錐齒輪的特征,齒面的受力情形與直齒錐齒輪相同。
3.3 交錯軸齒輪
1)圓柱蝸桿副
圓柱蝸桿副是圓柱蝸桿和與之嚙合的蝸輪的總稱。運轉平靜及單對即可獲得大傳動比為其最大的特征,但是有效率低的缺點。
2)交錯軸斜齒齒輪
圓柱蝸桿副在交錯軸間傳動時的名稱。可在斜齒齒輪副或斜齒齒輪與正齒輪副的情況下使用。運轉雖然平穩,但只適合于使用在輕負荷的情況下。
3.4 其他特殊齒輪
1)面齒輪
可與正齒輪或斜齒齒輪嚙合的圓盤狀齒輪。在直交軸及交錯軸間傳動。
2)鼓形蝸桿副
鼓形蝸桿及與之嚙合的蝸輪的總稱。雖然制造比較困難,但比起圓柱蝸桿副,可以傳動大負荷。
3)準雙曲面齒輪
在交錯軸間傳動的圓錐形齒輪。大小齒輪經過偏心加工,與弧齒齒輪相似,嚙合原理非常復雜。
4. 齒輪的基本術語和尺寸計算
齒輪有很多齒輪所特有的術語和表現方法,為了使大家能更多的了解齒輪,在此介紹一些經常使用的齒輪基本術語。
1)齒輪各部位的名稱
2)表示輪齒的大小的術語是模數
m1、m3、m8…被稱為模數1、模數3、模數8。模數是全世界通用的稱呼,使用符號m(模數)和數字(毫米〉來表示輪齒的大小,數字越大,輪齒也越大。
另外,在使用英制單位的國家(比如美國),使用符號(徑節)及數字(分度圓直徑為1英吋時的齒輪的輪齒數)來表示輪齒的大小。比如:DP24、DP8等。還有使用符號(周節)和數字(毫米)來表示輪齒大小的比較特殊的稱呼方法,比如CP5、CP10。
模數乘以圓周率即可得到齒距(p),齒距是相鄰兩齒間的長度。
用公式表示就是:
p=圓周率 x 模數 = πm
不同模數的輪齒大小對比:
3)壓力角
壓力角是決定齒輪齒形的參數。即輪齒齒面的傾斜度。壓力角(α)一般采用20°。以前,壓力角為14.5°的齒輪曾經很普及。
壓力角是在齒面的一點(一般是指節點)上,半徑線與齒形的切線間所成之角度。如圖所示,α為壓力角。因為α’=α,所以α’也是壓力角。

A齒與B齒的嚙合狀態從節點看上去時:
A齒在節點上推動B點。這個時候的推動力作用在A齒及B齒的共同法線上。也就是說,共同法線是力的作用方向,亦是承受壓力的方向,α則為壓力角。
模數(m)、壓力角(α)再加上齒數(z)是齒輪的三大基本參數,以此參數為基礎計算齒輪各部位尺寸。
4)齒高與齒厚
輪齒的高度由模數(m)來決定。
全齒高 h=2.25m(=齒根高+齒頂高)
齒頂高(ha)是從齒頂到分度線的高度。ha=1m。
齒根高(hf)是從齒根到分度線的高度。hf=1.25m。
齒厚 (s)的基準是齒距的一半。s=πm/2。
5)齒輪的直徑
決定齒輪大小的參數是齒輪的分度圓直徑(d)。以分度圓為基準,才能定出齒距、齒厚、齒高、齒頂高、齒根高。
分度圓直徑 d=zm
齒頂圓直徑da=d+2m
齒根圓直徑df=d-2.5m
分度圓在實際的齒輪中是無法直接看到的,因為分度圓是為了決定齒輪的大小而假設的圓。
6)中心距與齒隙
一對齒輪的分度圓相切嚙合時,中心距是兩個分度圓直徑的和的一半。
中心距a=(d1+d2)/2
在齒輪的嚙合中,要想得到圓滑的嚙合效果,齒隙是個重要的因素。齒隙是一對齒輪嚙合時齒面間的空隙。
齒輪的齒高方向也有空隙。這個空隙被稱為頂隙(Clearance)。頂隙(c)是齒輪的齒根高與相配齒輪的齒頂高之差。
頂隙 c=1.25m-1m=0.25m
7)斜齒齒輪
將正齒輪的輪齒螺旋狀扭轉后的齒輪為斜齒齒輪。正齒輪幾何計箅的大部分都可適用于斜齒齒輪。斜齒齒輪,根據其基準面不同有2種方式:
端面(軸直角)基準(端面模數/壓力角〉
法面(齒直角)基準(法向模數/壓力角〉
端面模數mt和法向模數mn的關系式mt=mn/cosβ
8)螺旋方向與配合
斜齒齒輪、弧齒傘形齒輪等,輪齒呈螺旋狀的齒輪,螺旋方向和配合是一定的。螺旋方向是指當齒輪的中心軸指向上下,從正面看上去時,輪齒的方向指向右上的是[右旋],左上的是[左旋]。各種齒輪的配合如下所示。
5. 最常用的齒輪齒形是漸開線齒形
僅僅在摩擦輪的外周上分割出等分的齒距,裝上突起,然后相互嚙合轉動的話,會出現如下問題:
輪齒的切點產生滑動
切點的移動速度時快時慢
產生振動及噪音
輪齒傳動時既要安靜又要圓滑,由此,誕生了漸開曲線。
1)什么是漸開線
將一端系有鉛筆的線纏在圓筒的外周上,然后在線繃緊的狀態下將線漸漸放開。此時,鉛筆所畫出的曲線即為漸開曲線。圓筒的外周被稱為基圓。
2)8齒漸開線齒輪示例
將圓筒8等分后,系上8根鉛筆,畫出8條漸開曲線。然后,將線向相反方向纏繞,按同樣方法畫出8條曲線,這就是以漸開曲線作為齒形,齒數為8的齒輪。
3)漸開線齒輪的優點
即使中心距多少有些誤差,也可以正確的嚙合;
比較容易得到正確的齒形,加工也比較容易;
因為在曲線上滾動嚙合,所以,可以圓滑地傳遞旋轉運動;
只要輪齒的大小相同,一個刀具可以加工齒數不同的齒輪;
齒根粗壯,強度高。
4)基圓和分度圓
基圓是形成漸開線齒形的基礎圓。分度圓是決定齒輪大小的基準圓。基圓與分度圓是齒輪的重要幾何尺寸。漸開線齒形是在基圓的外側形成的曲線。在基圓上壓力角為零度。
5)漸開線齒輪的嚙合
兩個標準的漸開線齒輪的分度圓在標準的中心距下相切嚙合。
兩輪嚙合時的模樣,看上去就像是分度圓直徑大小為d1、d2兩個摩擦輪(Friction wheels)在傳動。但是,實際上漸開線齒輪的嚙合取決于基圓而不是分度圓。
兩個齒輪齒形的嚙合接觸點按P1—P2—P3的順序在嚙合線上移動。請注意驅動齒輪中黃色的輪齒。這個齒開始嚙合后的一段時間內,齒輪為兩齒嚙合(P1、P3)。嚙合繼續,當嚙合點移動到分度圓上的點P2時,嚙合輪齒只剩下了一個。嚙合繼續進行,嚙合點移動到點P3時,下一個輪齒開始在P1點嚙合,再次形成兩齒嚙合的狀態。就像這樣,齒輪的兩齒嚙合與單齒嚙合交互重復傳遞旋轉運動。
基圓的公切線A一B被稱為嚙合線。齒輪的嚙合點都在這條嚙合線上。
用一個形象的圖來表示,就好像皮帶交叉地套在兩個基圓的外周上做旋轉運動傳遞動力一樣。
6. 齒輪的變位分為正變位和負變位
我們通常使用的齒輪的齒廓一般都是標準的漸開線,然而也存在一些情況需要對輪齒進行變位,如調整中心距、防止小齒輪的根切等。
1)齒輪的齒數與形狀
漸開線齒形曲線隨齒數多少而不同。齒數越多,齒形曲線越趨于直線。隨齒數增加,齒根的齒形變厚,輪齒強度增加。
由上圖可以看到,齒數為10的齒輪,其輪齒的齒根處部分漸開線齒形被挖去,發生根切現象。但是如果對齒數z=10的齒輪采用正變位,增大齒頂圓直徑、增加輪齒的齒厚的話,可以得到與齒數200的齒輪同等程度的齒輪強度。
2)變位齒輪
下圖是齒數z=10的齒輪正變位切齒示意圖。切齒時,刀具沿半徑方向的移動量xm(mm)稱為徑向變位量〔簡稱變位量)。
xm=變位量(mm)
x=變位系數
m=模數(mm)
通過正變位的齒形變化。輪齒的齒厚增加,外徑(齒頂圓直徑〉也變大。齒輪通過采取正變位,可以避免根切(Undercut)的發生。對齒輪實行變位還可以達到其它的目的,如改變中心距,正變位可增加中心距,負變位可減少中心距。
不論是正變位還是負變位齒輪,都對變位量有限制。
3)正變位和負變位
變位有正變位和負變位。雖然齒高相同,但齒厚不同。齒厚變厚的為正變位齒輪,齒厚變薄的為負變位齒輪。
無法改變兩個齒輪的中心距時,對小齒輪進行正變位(避免根切),對大齒輪進行負變位,以使中心距相同。這種情況下,變位量的絕對值相等。
4)變位齒輪的嚙合
標準齒輪是在各個齒輪的分度圓相切狀態下嚙合。而經過變位的齒輪的嚙合,如圖所示,是在嚙合節圓上相切嚙合。嚙合節圓上的壓力角稱為嚙合角。嚙合角與分度圓上的壓力角(分度圓壓力角)不同。嚙合角是設計變位齒輪時的重要要素。
6)齒輪變位的作用
可以防止在加工時因為齒數少而產生的根切現象;通過變位可以得到所希望的中心距;在一對齒輪齒數比很大的情況下,對容易產生磨耗的小齒輪進行正變位,使齒厚加厚。相反,對大齒輪進行負變位,使齒厚變薄,以使得兩個齒輪的壽命接近。
7. 齒輪的精度
齒輪是傳遞動力和旋轉的機械要素。對于齒輪的性能要求主要有:
更大的動力傳遞能力
盡可能使用體積小的齒輪
低噪音
正確性
要想滿足如上所述的要求,提高齒輪的精度將成為必須解決的課題。
1)齒輪精度的分類
齒輪的精度大致可以分為三類:
a)漸開線齒形的正確度—齒形精度
b)齒面上齒線的正確度—齒線精度
c)齒/齒槽位置的正確度
輪齒的分度精度—單齒距精度
齒距的正確度—累積齒距精度
夾在兩齒輪的測球在半徑方向位置的偏差—徑向跳動精度
2)齒形誤差
3)齒線誤差
4)齒距誤差
在以齒輪軸為中心的測定圓周上測量齒距值。
單齒距偏差(fpt)實際齒距與理論齒距的差。
齒距累積總偏差(Fp)測定全輪齒齒距偏差做出評價。齒距累積偏差曲線的總振幅值為齒距總偏差。
5)徑向跳動(Fr)
將測頭(球形、圓柱形)相繼置于齒槽內,測定測頭到齒輪軸線的最大和最小徑向距離之差。齒輪軸的偏心量是徑向跳動的一部分。
6)徑向綜合總偏差(Fi”)
到此為止,我們所敘述的齒形、齒距、齒線精度等,都是評價齒輪單體精度的方法。與此不同的是,還有將齒輪與測量齒輪嚙合后評價齒輪精度的兩齒面嚙合試驗的方法。被測齒輪的左右兩齒面與測量齒輪接觸嚙合,并旋轉一整周。記錄中心距離的變化。下圖是齒數為30的齒輪的試驗結果。單齒徑向綜合偏差的波浪線共有30個。徑向綜合總偏差值大約為徑向跳動偏差與單齒徑向綜合偏差的和。
7)齒輪各種精度之間的關聯
齒輪的各部分精度之間是有關聯的,一般來說,徑向跳動與其它誤差的相關性強,各種齒距誤差間的相關性也很強。
8)高精度齒輪的條件
8. 齒輪計算公式
標準正齒輪的計算(小齒輪①,大齒輪②)

移位正齒輪計算公式(小齒輪①,大齒輪②)

標準螺旋齒的計算公式(齒直角方式)(小齒輪①,大齒輪②)


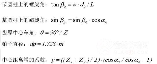
移位螺旋齒的計算公式(齒直角方式)(小齒輪①,大齒輪②)


齒輪是能互相嚙合的有齒的機械零件。它在機械傳動及整個機械領域中的應用極其廣泛。
2. 齒輪的歷史
早在公元前350年,古希臘著名的哲學家亞里士多德在文獻中對齒輪有過記錄。公元前250年左右,數學家阿基米德也在文獻中對使用了渦輪蝸桿的卷揚機進行了說明。在現今伊拉克凱特斯芬遺跡中還保存著公元前的齒輪。

齒輪在我國的歷史也源遠流長。據史料記載,遠在公元前400~200年的中國古代就已開始使用齒輪,在我國山西出土的青銅齒輪是迄今已發現的最古老齒輪,作為反映古代科學技術成就的指南車就是以齒輪機構為核心的機械裝置。15世紀后半的意大利文藝復興時期,著名的全才列奧納多.達芬奇,不僅在文化藝術方面,在齒輪技術史上也留下了不可磨滅的功績,經過了500年以上,現在的齒輪仍然保留著當時素描的原型。


直到17世紀末,人們才開始研究能正確傳遞運動的輪齒形狀。18世紀,歐洲工業革命以后,齒輪傳動的應用日益廣泛;先是發展擺線齒輪,而后是漸開線齒輪,一直到20世紀初,漸開線齒輪已在應用中占了優勢。其后又發展了變位齒輪、圓弧齒輪、錐齒輪、斜齒輪等等。
現代齒輪技術已達到:齒輪模數0.004-100毫米;齒輪直徑由1毫米-150米;傳遞功率可達十萬千瓦;轉速可達十萬轉/分;最高的圓周速度達300米/秒。
國際上,動力傳動齒輪裝置正沿著小型化、高速化、標準化方向發展。特殊齒輪的應用、行星齒輪裝置的發展、低振動、低噪聲齒輪裝置的研制是齒輪設計方面的一些特點。
3. 齒輪一般分為三大類
齒輪的種類繁多,其分類方法最通常的是根據齒輪軸性。一般分為平行軸、相交軸及交錯軸三種類型。
1)平行軸齒輪:包括正齒輪、斜齒輪、內齒輪、齒條及斜齒條等。
2)相交軸齒輪:有直齒錐齒輪、弧齒錐齒輪、零度齒錐齒輪等。
3)交錯軸齒輪:有交錯軸斜齒齒輪、蝸桿蝸輪、準雙曲面齒輪等。

上表中所列出的效率為傳動效率,不包括軸承及攪拌潤滑等的損失。平行軸及相交軸的齒輪副的嚙合,基本上是滾動,相對的滑動非常微小,所以效率高。交錯軸斜齒輪及蝸桿蝸輪等交錯軸齒輪副,因為是通過相對滑動產生旋轉以達到動力傳動,所以摩擦的影響非常大,與其他齒輪相比傳動效率下降。齒輪的效率是齒輪在正常裝配狀況下的傳動效率。如果出現安裝不正確的情況,特別是錐齒輪裝配距離不正確而導致同錐交點有誤差時,其效率會顯著下降。
3.1 平行軸的齒輪
1)正齒輪
齒線與軸心線為平行方向的圓柱齒輪。因為易于加工,因此在動力傳動上使用最為廣泛。

2)齒條
與正齒輪嚙合的直線齒條狀齒輪。可以看成是正齒輪的節圓直徑變成無限大時的特殊情況。

3)內齒輪
與正齒輪相嚙合在圓環的內側加工有輪齒的齒輪。主要使用在行星齒輪傳動機構及齒輪聯軸器等應用上。

4)斜齒齒輪
齒線為螺旋線的圓柱齒輪。因為比正齒輪強度高且運轉平穩,被廣泛使用。傳動時產生軸向推力。

5)斜齒齒條,
與斜齒齒輪相嚙合的條狀齒輪。相當于斜齒齒輪的節徑變成無限大時的情形。

6)人字齒輪
齒線為左旋及右旋的兩個斜齒齒輪組合而成的齒輪。有在軸向不產生推力的優點。

3.2 相交軸齒輪
1)直齒錐齒輪
齒線與節錐線的母線一致的錐齒輪。在錐齒輪中,屬于比較容易制造的類型。所以,作為傳動用錐齒輪應用范圍廣泛。

2)弧齒錐齒輪
齒線為曲線,帶有螺旋角的錐齒輪。雖然與直齒錐齒輪相比,制作難度較大,但是作為高強度、低噪音的齒輪使用也很廣泛。

3)零度錐齒輪
螺旋角為零度的曲線齒錐齒輪。因為同時具有直齒和曲齒錐齒輪的特征,齒面的受力情形與直齒錐齒輪相同。

3.3 交錯軸齒輪
1)圓柱蝸桿副
圓柱蝸桿副是圓柱蝸桿和與之嚙合的蝸輪的總稱。運轉平靜及單對即可獲得大傳動比為其最大的特征,但是有效率低的缺點。

2)交錯軸斜齒齒輪
圓柱蝸桿副在交錯軸間傳動時的名稱。可在斜齒齒輪副或斜齒齒輪與正齒輪副的情況下使用。運轉雖然平穩,但只適合于使用在輕負荷的情況下。

3.4 其他特殊齒輪
1)面齒輪
可與正齒輪或斜齒齒輪嚙合的圓盤狀齒輪。在直交軸及交錯軸間傳動。

2)鼓形蝸桿副
鼓形蝸桿及與之嚙合的蝸輪的總稱。雖然制造比較困難,但比起圓柱蝸桿副,可以傳動大負荷。

3)準雙曲面齒輪
在交錯軸間傳動的圓錐形齒輪。大小齒輪經過偏心加工,與弧齒齒輪相似,嚙合原理非常復雜。

4. 齒輪的基本術語和尺寸計算
齒輪有很多齒輪所特有的術語和表現方法,為了使大家能更多的了解齒輪,在此介紹一些經常使用的齒輪基本術語。
1)齒輪各部位的名稱

2)表示輪齒的大小的術語是模數
m1、m3、m8…被稱為模數1、模數3、模數8。模數是全世界通用的稱呼,使用符號m(模數)和數字(毫米〉來表示輪齒的大小,數字越大,輪齒也越大。
另外,在使用英制單位的國家(比如美國),使用符號(徑節)及數字(分度圓直徑為1英吋時的齒輪的輪齒數)來表示輪齒的大小。比如:DP24、DP8等。還有使用符號(周節)和數字(毫米)來表示輪齒大小的比較特殊的稱呼方法,比如CP5、CP10。
模數乘以圓周率即可得到齒距(p),齒距是相鄰兩齒間的長度。
用公式表示就是:
p=圓周率 x 模數 = πm
不同模數的輪齒大小對比:

3)壓力角
壓力角是決定齒輪齒形的參數。即輪齒齒面的傾斜度。壓力角(α)一般采用20°。以前,壓力角為14.5°的齒輪曾經很普及。

壓力角是在齒面的一點(一般是指節點)上,半徑線與齒形的切線間所成之角度。如圖所示,α為壓力角。因為α’=α,所以α’也是壓力角。


A齒與B齒的嚙合狀態從節點看上去時:
A齒在節點上推動B點。這個時候的推動力作用在A齒及B齒的共同法線上。也就是說,共同法線是力的作用方向,亦是承受壓力的方向,α則為壓力角。
模數(m)、壓力角(α)再加上齒數(z)是齒輪的三大基本參數,以此參數為基礎計算齒輪各部位尺寸。
4)齒高與齒厚
輪齒的高度由模數(m)來決定。

全齒高 h=2.25m(=齒根高+齒頂高)
齒頂高(ha)是從齒頂到分度線的高度。ha=1m。
齒根高(hf)是從齒根到分度線的高度。hf=1.25m。
齒厚 (s)的基準是齒距的一半。s=πm/2。
5)齒輪的直徑
決定齒輪大小的參數是齒輪的分度圓直徑(d)。以分度圓為基準,才能定出齒距、齒厚、齒高、齒頂高、齒根高。
分度圓直徑 d=zm
齒頂圓直徑da=d+2m
齒根圓直徑df=d-2.5m
分度圓在實際的齒輪中是無法直接看到的,因為分度圓是為了決定齒輪的大小而假設的圓。

6)中心距與齒隙
一對齒輪的分度圓相切嚙合時,中心距是兩個分度圓直徑的和的一半。
中心距a=(d1+d2)/2

在齒輪的嚙合中,要想得到圓滑的嚙合效果,齒隙是個重要的因素。齒隙是一對齒輪嚙合時齒面間的空隙。
齒輪的齒高方向也有空隙。這個空隙被稱為頂隙(Clearance)。頂隙(c)是齒輪的齒根高與相配齒輪的齒頂高之差。
頂隙 c=1.25m-1m=0.25m

7)斜齒齒輪
將正齒輪的輪齒螺旋狀扭轉后的齒輪為斜齒齒輪。正齒輪幾何計箅的大部分都可適用于斜齒齒輪。斜齒齒輪,根據其基準面不同有2種方式:
端面(軸直角)基準(端面模數/壓力角〉
法面(齒直角)基準(法向模數/壓力角〉
端面模數mt和法向模數mn的關系式mt=mn/cosβ

8)螺旋方向與配合
斜齒齒輪、弧齒傘形齒輪等,輪齒呈螺旋狀的齒輪,螺旋方向和配合是一定的。螺旋方向是指當齒輪的中心軸指向上下,從正面看上去時,輪齒的方向指向右上的是[右旋],左上的是[左旋]。各種齒輪的配合如下所示。

5. 最常用的齒輪齒形是漸開線齒形
僅僅在摩擦輪的外周上分割出等分的齒距,裝上突起,然后相互嚙合轉動的話,會出現如下問題:
輪齒的切點產生滑動
切點的移動速度時快時慢
產生振動及噪音

輪齒傳動時既要安靜又要圓滑,由此,誕生了漸開曲線。
1)什么是漸開線
將一端系有鉛筆的線纏在圓筒的外周上,然后在線繃緊的狀態下將線漸漸放開。此時,鉛筆所畫出的曲線即為漸開曲線。圓筒的外周被稱為基圓。

2)8齒漸開線齒輪示例
將圓筒8等分后,系上8根鉛筆,畫出8條漸開曲線。然后,將線向相反方向纏繞,按同樣方法畫出8條曲線,這就是以漸開曲線作為齒形,齒數為8的齒輪。

3)漸開線齒輪的優點
即使中心距多少有些誤差,也可以正確的嚙合;
比較容易得到正確的齒形,加工也比較容易;
因為在曲線上滾動嚙合,所以,可以圓滑地傳遞旋轉運動;
只要輪齒的大小相同,一個刀具可以加工齒數不同的齒輪;
齒根粗壯,強度高。
4)基圓和分度圓
基圓是形成漸開線齒形的基礎圓。分度圓是決定齒輪大小的基準圓。基圓與分度圓是齒輪的重要幾何尺寸。漸開線齒形是在基圓的外側形成的曲線。在基圓上壓力角為零度。
5)漸開線齒輪的嚙合
兩個標準的漸開線齒輪的分度圓在標準的中心距下相切嚙合。
兩輪嚙合時的模樣,看上去就像是分度圓直徑大小為d1、d2兩個摩擦輪(Friction wheels)在傳動。但是,實際上漸開線齒輪的嚙合取決于基圓而不是分度圓。

兩個齒輪齒形的嚙合接觸點按P1—P2—P3的順序在嚙合線上移動。請注意驅動齒輪中黃色的輪齒。這個齒開始嚙合后的一段時間內,齒輪為兩齒嚙合(P1、P3)。嚙合繼續,當嚙合點移動到分度圓上的點P2時,嚙合輪齒只剩下了一個。嚙合繼續進行,嚙合點移動到點P3時,下一個輪齒開始在P1點嚙合,再次形成兩齒嚙合的狀態。就像這樣,齒輪的兩齒嚙合與單齒嚙合交互重復傳遞旋轉運動。
基圓的公切線A一B被稱為嚙合線。齒輪的嚙合點都在這條嚙合線上。

用一個形象的圖來表示,就好像皮帶交叉地套在兩個基圓的外周上做旋轉運動傳遞動力一樣。

6. 齒輪的變位分為正變位和負變位
我們通常使用的齒輪的齒廓一般都是標準的漸開線,然而也存在一些情況需要對輪齒進行變位,如調整中心距、防止小齒輪的根切等。
1)齒輪的齒數與形狀
漸開線齒形曲線隨齒數多少而不同。齒數越多,齒形曲線越趨于直線。隨齒數增加,齒根的齒形變厚,輪齒強度增加。

由上圖可以看到,齒數為10的齒輪,其輪齒的齒根處部分漸開線齒形被挖去,發生根切現象。但是如果對齒數z=10的齒輪采用正變位,增大齒頂圓直徑、增加輪齒的齒厚的話,可以得到與齒數200的齒輪同等程度的齒輪強度。
2)變位齒輪
下圖是齒數z=10的齒輪正變位切齒示意圖。切齒時,刀具沿半徑方向的移動量xm(mm)稱為徑向變位量〔簡稱變位量)。
xm=變位量(mm)
x=變位系數
m=模數(mm)

通過正變位的齒形變化。輪齒的齒厚增加,外徑(齒頂圓直徑〉也變大。齒輪通過采取正變位,可以避免根切(Undercut)的發生。對齒輪實行變位還可以達到其它的目的,如改變中心距,正變位可增加中心距,負變位可減少中心距。
不論是正變位還是負變位齒輪,都對變位量有限制。
3)正變位和負變位
變位有正變位和負變位。雖然齒高相同,但齒厚不同。齒厚變厚的為正變位齒輪,齒厚變薄的為負變位齒輪。

無法改變兩個齒輪的中心距時,對小齒輪進行正變位(避免根切),對大齒輪進行負變位,以使中心距相同。這種情況下,變位量的絕對值相等。

4)變位齒輪的嚙合
標準齒輪是在各個齒輪的分度圓相切狀態下嚙合。而經過變位的齒輪的嚙合,如圖所示,是在嚙合節圓上相切嚙合。嚙合節圓上的壓力角稱為嚙合角。嚙合角與分度圓上的壓力角(分度圓壓力角)不同。嚙合角是設計變位齒輪時的重要要素。

6)齒輪變位的作用
可以防止在加工時因為齒數少而產生的根切現象;通過變位可以得到所希望的中心距;在一對齒輪齒數比很大的情況下,對容易產生磨耗的小齒輪進行正變位,使齒厚加厚。相反,對大齒輪進行負變位,使齒厚變薄,以使得兩個齒輪的壽命接近。
7. 齒輪的精度
齒輪是傳遞動力和旋轉的機械要素。對于齒輪的性能要求主要有:
更大的動力傳遞能力
盡可能使用體積小的齒輪
低噪音
正確性
要想滿足如上所述的要求,提高齒輪的精度將成為必須解決的課題。
1)齒輪精度的分類
齒輪的精度大致可以分為三類:
a)漸開線齒形的正確度—齒形精度
b)齒面上齒線的正確度—齒線精度
c)齒/齒槽位置的正確度
輪齒的分度精度—單齒距精度
齒距的正確度—累積齒距精度
夾在兩齒輪的測球在半徑方向位置的偏差—徑向跳動精度

2)齒形誤差

3)齒線誤差

4)齒距誤差

在以齒輪軸為中心的測定圓周上測量齒距值。
單齒距偏差(fpt)實際齒距與理論齒距的差。
齒距累積總偏差(Fp)測定全輪齒齒距偏差做出評價。齒距累積偏差曲線的總振幅值為齒距總偏差。
5)徑向跳動(Fr)
將測頭(球形、圓柱形)相繼置于齒槽內,測定測頭到齒輪軸線的最大和最小徑向距離之差。齒輪軸的偏心量是徑向跳動的一部分。

6)徑向綜合總偏差(Fi”)
到此為止,我們所敘述的齒形、齒距、齒線精度等,都是評價齒輪單體精度的方法。與此不同的是,還有將齒輪與測量齒輪嚙合后評價齒輪精度的兩齒面嚙合試驗的方法。被測齒輪的左右兩齒面與測量齒輪接觸嚙合,并旋轉一整周。記錄中心距離的變化。下圖是齒數為30的齒輪的試驗結果。單齒徑向綜合偏差的波浪線共有30個。徑向綜合總偏差值大約為徑向跳動偏差與單齒徑向綜合偏差的和。

7)齒輪各種精度之間的關聯
齒輪的各部分精度之間是有關聯的,一般來說,徑向跳動與其它誤差的相關性強,各種齒距誤差間的相關性也很強。

8)高精度齒輪的條件

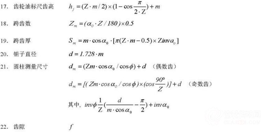
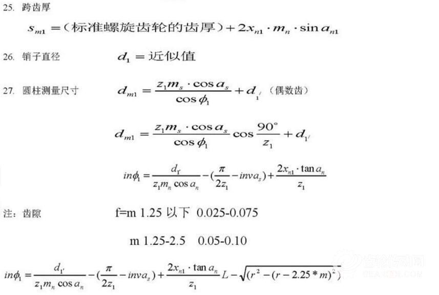
8. 齒輪計算公式

標準正齒輪的計算(小齒輪①,大齒輪②)


移位正齒輪計算公式(小齒輪①,大齒輪②)


標準螺旋齒的計算公式(齒直角方式)(小齒輪①,大齒輪②)



移位螺旋齒的計算公式(齒直角方式)(小齒輪①,大齒輪②)



